(CS576) Filtering
본 포스팅은 CS576 수업에서 제가 새로 배운 부분만 정리한 것입니다.
Padding
zero padding 말고도, wrap, clamp, mirror를 할 수 있다.

여러가지 filter
- 평균내는 필터는 box filter라고 부르고, blur의 기능이 있다. noise 제거에 효과가 있다.
- [[0,0,0],[0,2,0],[0,0,0]] 필터에서 box filter를 빼서 sharpening 할 수 있다.
- Box filter 대신 gaussian filter를 사용할 수도 있다.
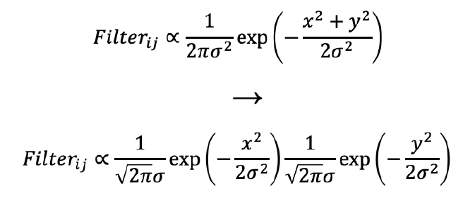
Separability

위와 같이 두 벡터의 output product로 표현할 수 있으면 separability하다고 할 수 있다.

위와 같이 가우시안 역세 separable 하다.
edge 탐지 : Image gradient로

직접 편미분 하는 것이 아니라 filter를 사용하여 계산한다.


하지만 바로 편미분을 하면, noise에 sensitive하기 때문에 잘 되지 않는다.
따라서 한번 가우시안 필터로 blur를 한 다음에 미분을 하는 것이 좋다.
Derivative of Gaussian

가우시안 미분 필터를 사용해서 edge detection을 함.
Harris corner detection




corner response로 아래와 같은 그림을 얻어서 코너를 감지할 수 있다.
